Science发文!段曦东教授团队突破传统电介质击穿对静电掺杂的限制
通讯员: 发布时间:2025-06-16 浏览量:次
6月12日,国际权威期刊Science在线发表,色情导航
、二维材料湖南省重点实验室段曦东教授团队完成的具有普适性的栅极调控能带调制超掺杂策略的最新研究成果。
二维半导体(two-dimensional semiconductors,2DSCs)在原子级厚度下具有高迁移率、无悬空键、免疫短沟道效应、易制备异质结等优异性能,近年来成为研究低功耗、超高集成度、柔性、超快芯片领域的热点,是后摩尔时代的优质第五代半导体。调控二维半导体中的载流子浓度,对掌控其基础电子特性、降低金属-半导体接触电阻以及提升器件性能起着关键作用。
传统半导体工艺中晶格替代掺杂(如离子注入)易于产生高能损伤,而表面吸附物诱导的电荷转移掺杂则通常涉及剧烈的化学处理、表面杂质的引入和化学稳定性等问题,因此它们难以适用于原子级薄的2DSCs。
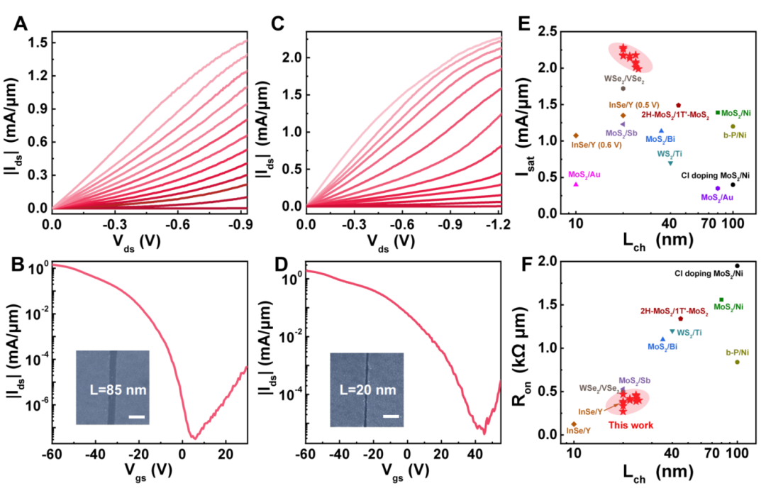
段曦东教授团队使用单层二硫化锡(1L-SnS2)与双层二硒化钨(2L-WSe2)构建具有III型能带排列的范德华异质结构(vdWHs)。背栅偏置电压(Vgs)能够对层间电荷转移掺杂进行有效调制,实现了超过典型介电击穿的最大静电掺杂极限的超掺杂,获得了高达1.49×1014cm–2的超高二维空穴浓度。高空穴浓度使p型2D晶体管展现出优异性能,其最低源漏接触电阻(RC)低至0.041kΩ·μm,最高开态电流密度(Ion)高达2.30mA/μm。
研究成果成功实现了2DSCs中超高的n2D,超低RC与Ron以及创纪录的高Ion。这为调控二维半导体中的载流子浓度提供了一种超越传统电介质限制的能带调制掺杂方法,为未来高性能2D电子器件的开发开辟了新途径。审稿人评论意见为,“这些均为p型二维TMD晶体管中的领先水平” “不同二维材料异质结构中丰富的能带结构使得带隙工程能够更为便捷地实现”。
研究成果以“Gate-driven band modulation hyperdoping for high-performance p-type 2D semiconductor transistors” 为题发表在Science上。色情导航
为论文第一单位,段曦东教授为论文唯一通讯作者,第一作者为色情导航
博士毕业生赵蓓、博士毕业生张祖城、合肥工业大学徐俊卿教授。


图1 1L-SnS2/2L-WSe2vdWH短沟道FET的超高Ion与超低Ron特性。
全文链接://www.science.org/doi/10.1126/science.adp8444